2024年第33届全国中学生生物学竞赛理论考试成绩公布

8月17日,第33届全国中学生生物学竞赛完成了理论部分的考试。目前,理论考试成绩已公布,排名前240名的同学将会参加8月18日的实验考试。一起来看!

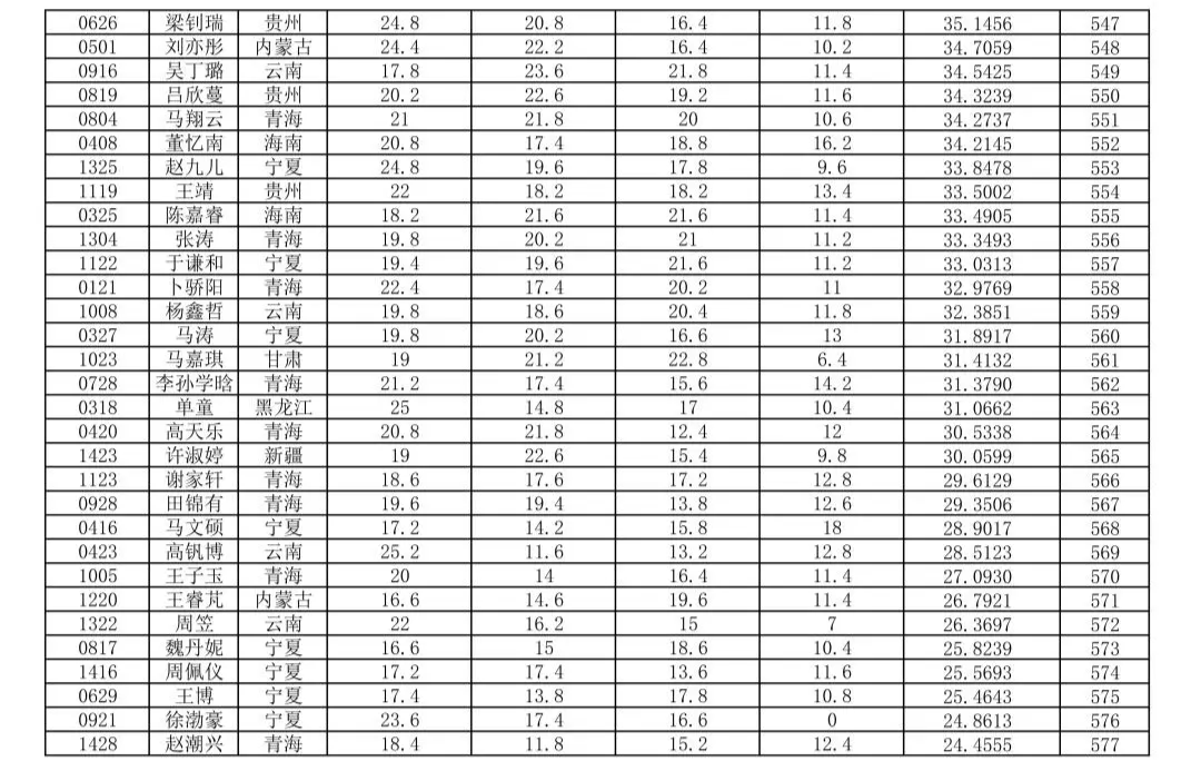
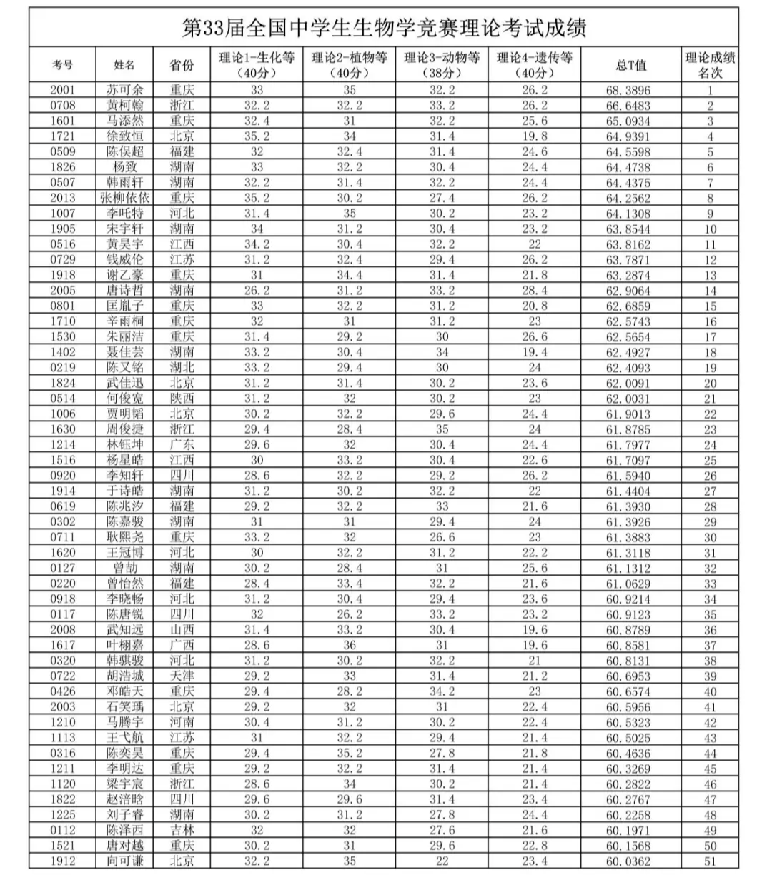
以下为全员理论成绩,其中前240名同学将参加实验考试,祝愿同学们在接下来的考试中,取得佳绩

2024年第33届全国中学生生物学竞赛理论考试成绩公布2024年第33届全国中学生生物学竞赛理论考试成绩公布2024年第33届全国中学生生物学竞赛理论考试成绩公布2024年第33届全国中学生生物学竞赛理论考试成绩公布2024年第33届全国中学生生物学竞赛理论考试成绩公布2024年第33届全国中学生生物学竞赛理论考试成绩公布2024年第33届全国中学生生物学竞赛理论考试成绩公布2024年第33届全国中学生生物学竞赛理论考试成绩公布2024年第33届全国中学生生物学竞赛理论考试成绩公布2024年第33届全国中学生生物学竞赛理论考试成绩公布2024年第33届全国中学生生物学竞赛理论考试成绩公布

【竞赛报名/项目咨询请加微信:mollywei007】

微信扫一扫,分享到朋友圈

2024年第33届全国中学生生物学竞赛理论考试成绩公布
收藏 0
上一篇

藤校转学录取率数据大起底!来看看哪所藤校转学更友好?

下一篇

经济 奖项也能申请牛剑名校?4大商赛组合方案

你也可能喜欢

  • 暂无相关文章!

评论已经被关闭。

插入图片
Molly老师
留学行业8年服务经验,擅长初高中留学背景提升及英美留学规划。VX:mollywei007

关注热点

返回顶部
Baidu
map