PAT 考试的全称为Physics Aptitude Test(物理能力测试),是牛津大学考试中心与英国入学考试服务中心 (Admissions Testing Service) 合作开设的物理能力测试。
PAT 是开放性考试,不申请牛津大学相关专业的考生也可以参加测试,优异的 PAT 成绩不仅是牛津大学相关专业的入学条件,也是证明学生物理学习能力的权威考试,会大大提高考生在申请牛津大学或英国其他高校物理、材料与工程系时的学术竞争力。
PAT 考试内容
PAT 考试时长2 小时,考查内容包含数学和物理两个学科的内容。
PAT 考试的物理部分包括:
力学 -- Mechanics
波与光学 -- Wave and Optics
电与磁 -- Electricity and Magnetism
自然世界 -- Natural world
其中,Natural world 部分就是我们熟知的原子结构、万有引力与天体运动、太阳系的组成等部分知识的合称。
需要考 PAT 的牛津大学专业包括:
工程科学 -- Engineering Science
材料科学 -- Materials Science
物理 -- Physics
物理与哲学 -- Physics and Philosophy
2022 PAT 真题解析老师倾情分享
Question 3

Question 5

Question 7

Question 9

Question 11

Question 19


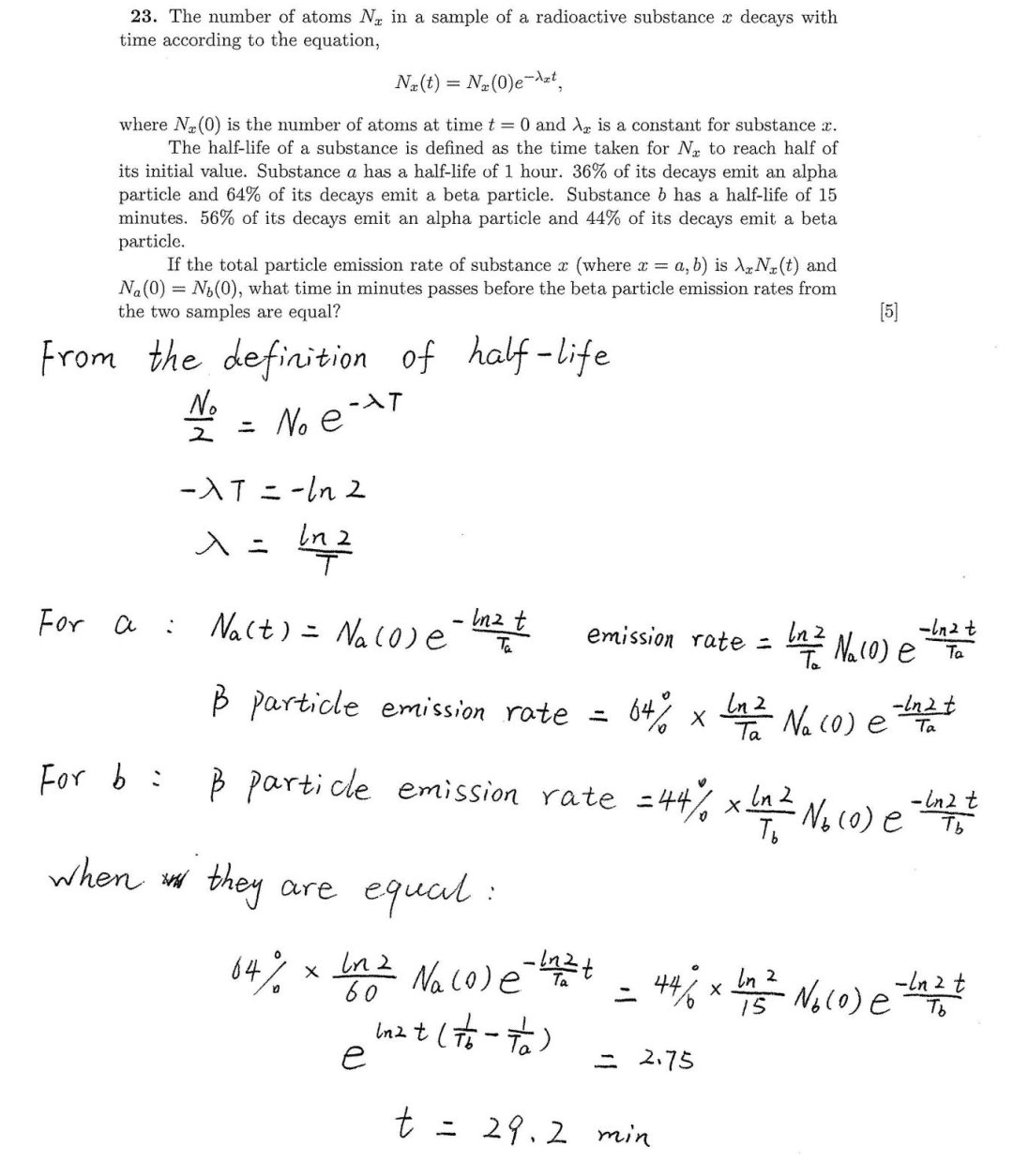
Question 23

PAT 备考建议
PAT 物理既包含了传统的力学,运动,电学,天文(部分)知识,也有很多近代物理方面的考题。
从题目中可以发现 PAT 考试的三个突出特点:
①背景知识多为天文相关
②考察知识面广
③考察形式固定
针对上述三大特点,马尧静老师也给正在复习备考的同学们提出三点建议:
① 在了解一些天文相关知识的同时,也要具备透过现象抓住本质的能力。从而能在复杂多变的题设之中,将题目快速归类,最后还原到运动、动量、受力等题目所考察的点上。
②充分掌握A-Level或IBHL 涉及到的知识点,务必做到没有缺失面。
③ PAT 考察更偏重基础,如很多大题都在 IB 课本中有原样的例题解法。建议学生要回归课本,清楚定义,熟悉公式,多理解,多思考。









