Tips for 2023COMC

一年一度的COMC加拿大公开数学竞赛就要到来了!
被老师称为“加拿大高联”的COMC是选拔加拿大IMO国家队的门槛型赛事,其含金量不言而喻。
报名今日截止,对于已经报名、即将参加COMC的同学,MathMaster有一些备考的Tips给大家!
COMC考试情况介绍
01考试的含金量:
COMC加拿大公开数学竞赛,由加拿大数学学会举办,每年有近万名选手参加,是加拿大IMO国家队首轮选拔赛。其前 50 名高分者(加拿大国籍)将被邀请参加CMO加拿大数学奥林匹克,角逐国家队训练营席位。达到CMO晋级线的中国选手将获邀参加与加拿大选手竞争排名,其含金量不言而喻。

02考试信息
活动时间:2023年10月27日(周五)17:00-19:30(2.5小时)
活动语言:英语
活动地点:全国各教学合作学校校内(学校申请可提供在线 测评服务)
参赛形式:个人
参赛资格:任意年级高中生(截止当年6月30日,不超过19岁)
试卷构成:由三部分构成,共80分(写出正确答题步骤会获得相应分数)
(1)4道简答题:每题4分,共16分
(2)4道挑战题:每题6分,共24分
(3)4道解答题:每题10分,共40分
COMC考试拿奖分析
01赛事情况:
COMC题分三类,A类4道题,每题4分,B类4道题,每题6分,C类四道题,每题10分,每题会有3-4个小问,试卷总分80分。A类题目以及B类题目的前2题基本上堪比AMC10前5题水平,学生可以轻松拿到这些分数;B类的后2题以及C类前2题大致相当于AMC10/12的16题左右,需要一些竞赛训练和积累也能够解决;C类后2题难度大致相当于AIME后5题,其题目视野感更开阔,思维难度更大,颇具挑战;
02COMC历年分数线
COMC历年分数线如下:

03临考训练建议
PartA&B 加强基础知识
重视PartA&B,加强基本知识以及基本功练习简单但不能出错的问题,力争拿稳前部分的40分;
PartC 提升竞赛性研究与训练
加强PartC问题的研究与竞赛训练,提升上限突破60分大关,难题的部分很多都包含研究性质,值得反复琢磨;
加强构造类型、操作类型训练
另外要冲击CMO晋级的话,需要进行构造类型以及操作类型问题训练以适应COMC风格的高难度问题;
加强书写规范性训练
书写过程训练一方面要规范,另一方面也要整洁。在PartA&B可以重点放在算对答案,解对题目,但是如果有良好的书写过程,也可以在即便算错答案的情况下挽救一些分数。PartC需要调整重点在书写过程上,特别是难度很大的后两题,其问题都是引导式的,考生要多研究这些引入小问的意图,由此延展联系最后的小问;
考前针对性钻研真题与解析
在即将考试的当前,考生一定要仔细把2020年以及2021年的真题用来模考和研究,在思考后钻研其解析与过程。
COMC热身练习题
以下COMC相关训练问题,大致从易到难排序,有能力的同学可以尝试挑战一下!问题的答案详见:
Problem of the Week – CMS-SMC (math.ca)
01Problem 1-A

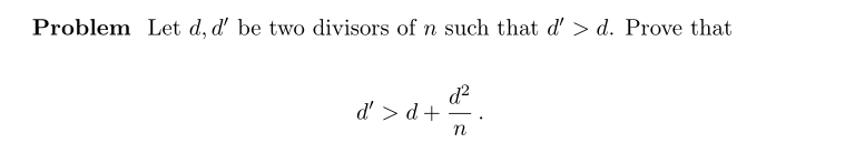
02Problem 1-B

03Problem 2
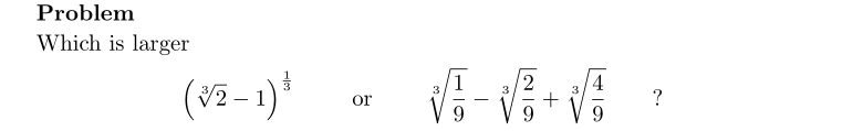
![]()
04Problem 3
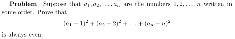
![]()
05Problem 4

06Problem 5

07Problem 6

08Problem 7

09Problem 8

COMC结束之后,AMC10/12便是下一个提升自我能力、更有挑战性的活动了!













