如今竞争激烈的环境中,培养解决问题和批判性思维的能力变得比以往任何时候都更加重要。AwesomeMath 正是这样一个数学夏令营,磨练学生、将强大技术应用于一些最吸引人的问题的能力,超越核心标准,探索数论、计数和概率、几何和代数等领域,令学生兴奋。
无论是为数学能力、AMC竞赛、USAMTS数学竞赛、Math Meet,F = ma,UASPhO或USNCO,或者深入研究一些复杂问题以解决问题的能力,AwesomeMath都是一个非常好的“助推器”。
AwesomeMath夏令营作为适配年龄最广,申请难度相对较低的暑期项目,2023年已正式开放申请!
相比于ROSS、PROMYS等顶尖数学营来说,AwesomeMath申请难度相对要低,它接受12到18岁的孩子报名申请(12岁以下在数学方面具有天赋的孩子也可),目前是国际学生最受欢迎的数学夏校之一。
*参加AwesomeMath夏令营有什么用?
AwesomeMath适合哪些学生?
AwesomeMath如何报名?
AwesomeMath学习什么内容?
AwesomeMath申请材料?
AwesomeMath费用是多少?

01、数学夏校的魅力有多“大”?
有意通过参加一些高难度的暑期课程,去提升在数学奥林匹克竞赛中((AMC10/12,AIME,USAMO)的知识储备和解决数学难题的能力;
并希望通过一段高质量暑期数学学习之旅,感受国外不同的数学教学模式,接触来自世界各地的数学天才少年,在数学学习中有新认知和学识增长;同时为大学申请的数学背景履历再添精彩一笔!
AwesomeMath暑期夏令营就可肩负此项重任。同时它也是MIT推荐的一项可在暑假学习的有价值的数学项目课程。


“MIT官网截图”
02、神奇数学夏令营有多“牛”!
AwesomeMath由德州达拉斯分校的数学教育副教授Dr. Titu Andreescu创办,他曾是美国数学竞赛的赛事主任,数学奥林匹克竞赛主教练,USAMO委员会主席,在数学竞赛领域有着丰富的经验。
且AwesomeMath的老师们,均是名校数学博士,教授和老师们,有的可能是IMO的评判员,或者是 USAMO的出题人。毋庸置疑!AwesomeMath的暑假学习会为学生在之后的数学竞赛中提供竞赛学科知识训练和补充坚实的基础。

课程介绍
暑期学习安排说明:
AwesomeMath暑期课程会在周一到周五举行虚拟会议(90分钟的讲座及60分钟的讨论会),并且每天会分配作业任务并评分反馈。每周六会进行评估测试,并在课外时间会组织社交活动,帮助学生之间建立联系。

Awesome暑期课程学什么?
AwesomeMath暑期课程围绕4个主题展开。分别是:代数,组合数学、几何和数论,每个主题又分为4个不同难度的学习level。这给喜欢数学的孩子们搭出来一条循序渐进的完美的升学路径。

AwesomeMath数学夏令营官网已给出了不同主题课程,不同level所学知识点,并有课程时间安排。先来一起看看代数各level课程学习哪些知识点?
代数1.5学习内容


代数2.5学习内容


代数3.5学习内容


抽象代数学习内容


03、AwesomeMath课程选择
AwesomeMath不同等级课程设置,适合不同数学水平的学生!允许有数学竞赛经验或者无数学参赛经验的学生都可申请。
有数学参赛经验的学生,可查看AwesomeMath的暑期数学课程安排,去选择要学习的主题课程及上课时间。
无竞赛经验的学生被录取后,会有工作人员全面审查学生的数学学习能力及感兴趣的领域,帮助安排课程。
△课程选择示例说明
04、AwesomeMath暑期课程申请要求及入学考试
重点说明
申请提交材料:
1、线上申请表
2、推荐信(来自数学老师/tutor)
3、参加入学考试
*以前被录取的学生和/或 USA(J)MO 合格者在完成简短的在线申请表后将自动获准参加暑期数学课程。无须参加入学考试或提交推荐信
申请时间:早申请1轮已于1月19日截止。常规申请和延后申请有2轮,注意下一轮申请的截止时间,2月28日。

申请费用:尽量早申请,费用比较低。

入学考试说明:
AwesomeMath的数学课程非常具有挑战性,已超出了美国学校常规课程及荣誉课程的学习范围。对于很多学生而言富有挑战,需要学生好好去准备入学考试。以此来确定学生参加哪一级别的课程。
因为AwesomeMath的入学考试分数是用来衡量学生的整体数学技能及确定课程级别资格的关键参考标准。
参加入学考试第一部分的学生只能参加一级或者二级课程。
参加入学考试第二部分的学生可以参加所有级别的课程。
Q: 参加入学考试要完成多少题?

一般来说:需要完成入学考试第一部分的10个问题中的至少4-5道,或者第二部分的5-6道问题。且问题作答时需要有推理或计算的过程。没有这些将会获取较低的分数成绩。
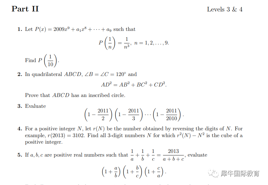
入学考试Sample,快来检测能答对几道?



此外AwesomeMath除了提供夏校项目课程外,还提供AwesomeMath Academy。其学习难度相对会比AwesomeMath暑期课程低,有兴趣的学生可去了解(无需申请即可参加)。












