昨天,我们浅浅发布了一波刚刚考完MAT/PAT/TSA同学们的笔试反馈:牛剑笔试今日收官!MAT难到爆炸,PAT、TSA稳了?
从昨晚到今天,机构牛剑教研团队奋笔疾书,加班加点,通宵达旦——终于把更详细、更全面的笔试解析给大家安排上了!
今天主角——MAT&PAT
就在刚刚,我们发现官网已经更新了MAT 2022真题!
MAT
我们特别针对今年的MAT进行了一波完整试题分析,快来一探究竟吧✍
考情分析
1、整体平均分要比去年要低至少5分,估计牛津面邀的均分是60到65之间。
2、Q5的阅读量较大,符合“longer and harder”的出题趋势。
3、Pell's Equation在2008的Q2里出现过,之前展开讨论过的同学应该印象很深,这次换种方式出现,难度增加了不少,但是idea还是很接近的。
4、Q4的Curve Sketching (e.g., Elliptic function)接近往年STEP的难度,虽然题目中细节的要求不如STEP多。
同学们可以先查看tutor的解析,看看自己发挥如何?
试题详解
?Q1:选择题
1、D

2、D

3、B

4、E

5、C

6、A

7、B

8、C

9、A

10、E

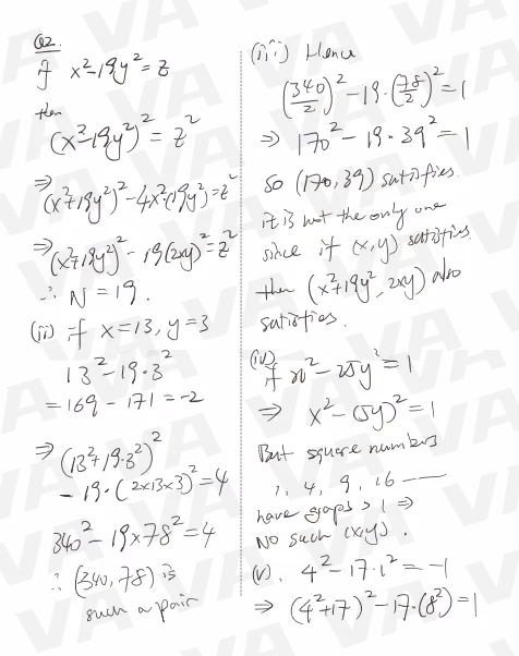
?Q2:函数,数论

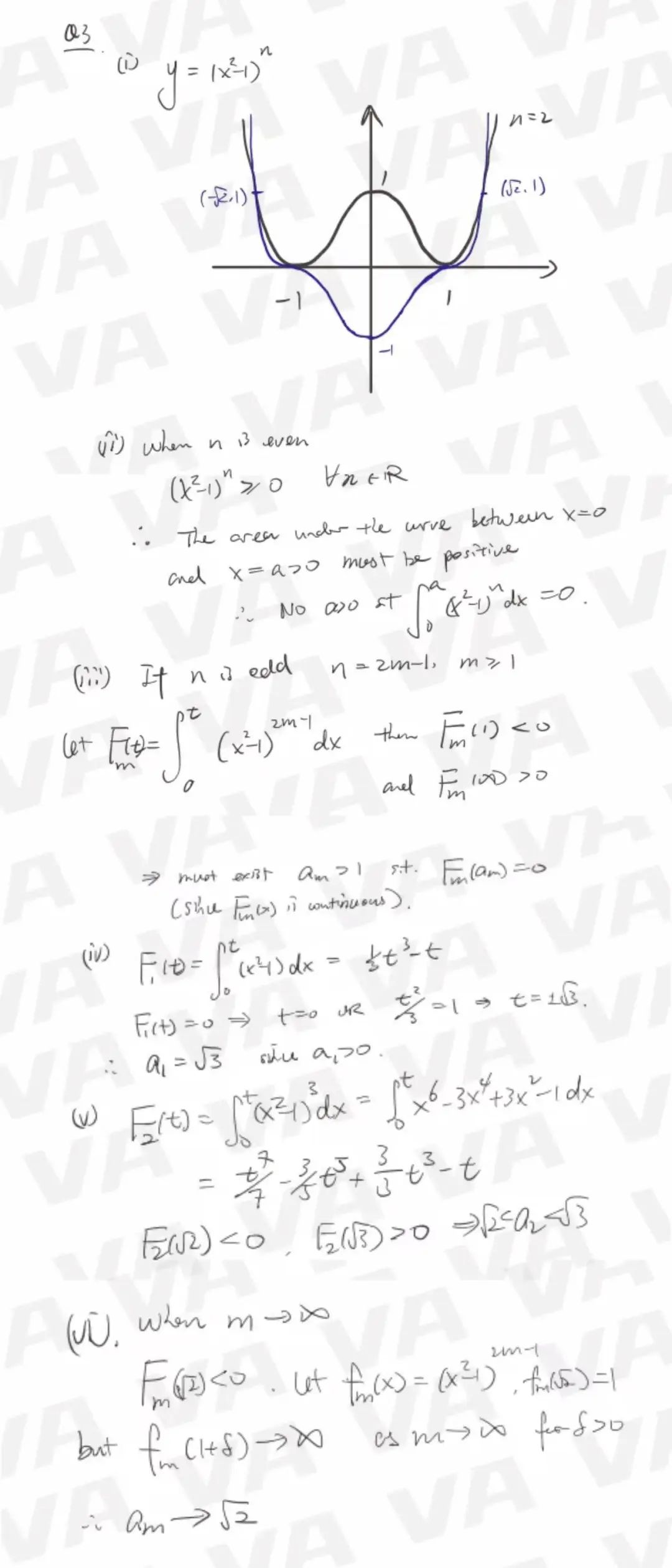
?Q3:(x^2-1)^n, 讨论n的奇偶性,积分,面积,难度中等;

?Q4:函数画图,turning point

?Q5:逻辑、策略(题目超长,有八个小问)

PAT
2022年PAT,大部分同学完成的还是比较理想的。学生普遍反映今年题目不算很难,但是计算量偏大:“仿佛是在考数学”。
今年一共考了23题,比2021年少了一题,但是由于题目比较长的原因,整体做题时间还是比较紧张的。

因此,我们特别给大家带来今年PAT的解析?
难度点评
其实今年PAT的题目难度并不是很高,相比去年来说甚至有所降低。
在考察的23题中,Question 15的计算量很大,会多花一点时间,除此之外,其它的题目整体来说不难。
考查知识点
?Question 1-12:选择题
考点比较常规,包括我们常见的等比数列求和,等效电阻,电磁波谱等相关知识点,同时也考察了一个关于光压力的题目,如果之前没学过光压力的同学,可能会没有做题思路。
?Question 13:数学送分题
简单画图:要求画出三个简单的一次函数,二次函数的图像。找到图像和函数交点,并且求图像之间围成的面积。
?Question 14:物理中Astrophysics的运动学应用
题目背景是关于木星的拉格朗日点,这题同学们只需要耐心读懂题目的信息,就可以用简单的三角函数以及SUVAT公式解答出来了。
?Question 15:考察物理运动学中斜抛运动的相关性质
把一个物体在山顶以三个不同抛射角度抛出,画出物体的y-x图像,计算物体的position vector r随时间的变化,以及判断r-t图像是否存在stationary point。
整体计算过程比较复杂,考察的是同学们对物理问题的数学分析能力。
?Question 16:数学的inequality
题目给了一个二次函数的分式不等式,和积分相关。通过积分以后,把不等式化简成为整式以后就可以使用穿针法得出结果了。
?Question 17:数学图形题
和往年常规求阴影部分的面积不同,今年考察了二维和三维场景下,内切圆和内切球的最大半径。整体还需要同学们找到图形中的几何关系。
?Question 18:数学题
在给定函数的情况下,分别找到函数存在real roots的条件;存在stationary point的条件等。只要通过求导,并且结合determinant,简单推导即可得到答案。
?Question 19:物理新场景题
考察的是物理中非常有名的Bohr model的相关推导。这个推导虽然同学们课内没有接触过,但是它和我们课内在gravitational field中,对于万有引力下圆周运动的受力,能量相关推导非常类似。
用同样的思路表示题目需要的信息即可。(包括总能量等于负的动能,用角动量量子化的主量子数表示电子能量等)。
?Question 20:数学概率题
整体比较简单,扔两颗fair dices,求题目问的几种情况的概率即可。
?Question 21:考察物理中的collision
第一问通过Conservation of momentum/KE即可得到结果,第二问比较有意思,在这道题目里面引入了电场力,通过上述方式正常分析即可。
?Quesion 22:数学题
给了我们三个未知数,x,y和z,并且已知他们相关的三个方程,求x的所有possible solutions。题目不是很难,正常联立方程消掉y和z,然后解一个三次方程即可(没有常数项,相当于二次方程)。
?Question 23:考察物理中的Radioactive decay
用的是我们课内的公式,N(t)会随着时间进行exponential decay,并且half life已知。只要按照题目中的要求,列出两个方程并且联立求解即可。
除此之外,有些同学可能因为各种原因,无法参加考试,根据剑桥招生评估考试官方说明表示:如果在笔试期间,有某些事情可能会影响你在考试时的表现,可以申请“特殊考虑”(Special Consideration)。

如果你需要申请,一定要注意申请有效期:2022年11月2日07:00(BST)至2022年11月8日17:00(BST)。另外,记得和学校联系并说明自己的情况,以便有其他解决方法?











