考试内容
物理杯考试以知识点“多”和“杂”而著称,试题整体难度适中,考试内容涉及初中物理部分知识点、高中物理全部知识点、部分大学课程内容、以及基本的物理常识。
具体内容如下 ↓
1、物理量的测量
基本物理量(7个)
单位换算与量纲分析
有效数字及其运算规则、Prefix表述
不确定度
矢量与标量的概念
2、运动学
运动的合成与分解(独立性、同时性、等效性)
抛体运动(上抛、下抛、平抛、斜抛)
匀变速直线运动与匀速圆周运动(公式)
图像工具的熟练应用(如图,斜率和面积的含义)
3、动力学
牛顿三定律
受力分析
动量、冲量、及动量守恒(典型应用:碰撞和爆炸过程)
动能、势能、功能关系
4、转动
角位移、角速度和角加速度的大小及方向(右手定则)
转动惯量与力矩(torque)、转动的牛顿第二定律
角动量及角动量守恒
转动能
注意转动与平动的类比及其之间的联系
5、机械振动与波
简谐振动的概念(典型事例:单摆、弹簧-物体系统)
振动曲线
中各量的物理含义
行波与驻波的概念
波的普适方程:
干涉相长和干涉相消的条件
管中不同类型驻波形成的条件(半开半闭、全开)
惠更斯原理
多普勒效应
6、光学
透镜成像方程:
,及成像规律(虚实、放大缩小)
反射、折射定律:
全反射的概念
反射波产生180°反相的条件:
双缝干涉(明暗条纹出现的条件)、单缝衍射
偏振、马吕斯定律
电磁波谱(真空速度均为光速c,不同波段的排序)
7、电磁学
电荷、库仑定律
电场、电势的概念(以点电荷为例)
金属导电的原因、静电平衡
欧姆定律、串并联电路、复杂电路的等效电路分析
基尔霍夫定律(节点、闭环)
平行板电容器、RC电路的充放电
电场线和磁场线的概念
电流产生磁场的判定(右手螺旋定则)
电荷在电磁场中的受力情况:
电磁感应:感应电场(楞次定律)和感应磁场方向的判断
8、热学
开氏温标和摄氏温标的转换
热容、比热容、潜热的概念
热机的效率和COP定义
理想气体的状态方程:
宏观与微观物理量的联系(分子动力学理论):
均方根速率:
内能、热力学三定律
P-V图像,等压、等容/等体、等温、绝热过程
能量均分定理、不同气体分子(单原子、双原子、多原子)等压和等容过程的摩尔热容
9、近现代物理
狭义相对论:尺寸收缩效应、钟慢效应、固有时的概念、质能方程
量子力学:光电效应、德波罗意物质波(光子的能量与动量)、量子态的描述(4量子数)、海森堡测不准原理、泡利不相容原理
核物理:
三种类型衰变、衰变常数与半衰期的概念、核反应方程的配平(电荷守恒和质量守恒)
10、流体力学
阿基米德原理
流体的连续性方程:
流体的伯努利方程:
11、物理常识
物理名词的解释(如LED、NMI、LHC、PET等)
诺贝尔奖相关事迹(重点关注前一年的情况)
月相、杨氏模量、暗物质、夸克等
在考试临近之际,考生可针对以上知识点进行查漏补缺。
学习方法
物理学习重在理解基本物理概念。在此基础上,要能够把握两条主线和两种基本思想.
两条主线
矢量线位移→速度→加速度→力→冲量→动量 掌握矢量叉乘(cross product)运算:

(右手定则判断方向) 典型应用举例:

标量线
功→动能→势能 掌握矢量点乘(dot product)运算:
典型应用举例:
两种基本思想
力与运动
根据牛顿第一定律,静止或匀速运动等效于合外力为0,也即静平衡。根据牛顿第二定律,力是产生加速度的原因。
这里所涉及的力可以表现为多种形式,如万有引力、重力、拉力、支持力、电场力、磁场力等等,因此该部分可以融合电场、磁场等一起考查,是物理杯考试的重点。
功与能
功与能之间的转换、能量守恒的思想在解决具体物理问题时能够起到事半功倍的效果。
重难点分析
纵观历年物理杯考试试题,运动学与动力学(包括转动部分)的题目始终占据着最主要的内容,为考试的重点,其他知识点(如物理量测量、波动、光学、电磁学、热学、近现代物理等)以考查基本概念为主。
通常而言,物理杯考试也会出一些难度相对较高的题目,用以区分不同层次的考生。
对于备考Division 1部分的考生应重点关注转动部分,而对于备考Division 2部分的考生,还应重点关注热学和狭义相对论的部分题目。
这三部分的内容除了要求考生能够准确理解基本物理概念,还要求考生能够进行一定的分析和运算,才能得出最终结果。
关于转动部分,考生可以采用类比法加强记忆,即将转动简单的类比为一维平动,只需将物理量进行简单的替换即可,如表1所示。
表1 转动与平动物理量的对应关系

关于热学和狭义相对论部分,我们各举一道真题,备考Division 2的考生自己分析求解一下来感受难度。
2012#44
A monatomic ideal gas is the working substance for a refrigerator that undergoes the cyclic process (ABCDA) shown in the PV diagram. The processes are all isochoric or isobaric with pressures between
and
and volumes between
and
. What is the coefficient of performance for this refrigerator?

(A)1/4 (B)1/3 (C)4/3 (D)11/2 (E)13/2
本题考查知识点:COP的概念,理想气体状态方程,单原子理想气体的等压、等容摩尔热容。
要点解析:

.对于单原子理想气体:
. 由理想气体状态方程可得:
. 因此,COP=11/2.
2014#50
Two clocks, A and B, are synchronized on Earth. Clock A is placed onto a space ship that leaves Earth in a straight line with a speed of
. On Earth, a scientist with clock B has her telescope fixed directly on clock A. If each clock started at
, what time does the scientist observe on clock A when clock B reads
? Assume the time of acceleration for the ship leaving the Earth was negligible. (A) 24 s (B) 30 s (C) 50 s (D) 54 s (E) 72 s
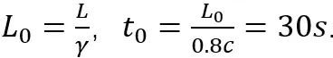
本题考查知识点:物理过程的分析,钟慢效应和固有时, 尺寸收缩效应
要点解析:分析物理过程可知,clock B的读数
应该包含两部分,即飞船走距离
的时间
和光返回的时间
,
,解得此时
。于是,
.由于飞船测量其行走距离
历时
为固有时,根据钟慢效应则有
. 或者根据尺寸收缩效应,飞船测得的距离
常犯错误总结
物理杯考试中,考生常犯错误主要有以下几种类型,举例说明如下:
01、审题不严谨
2013#35
For the figure shown, the variable resistance of the inner circuit,
, is increasing at a constant rate. While this is occurring, in which direction is the magnetic field associated with the inner circuit at the point P in the plane of the circuit and in which direction is theflow of electronsthrough the resistor labeled
.
解析:电子流动的方向而非电流的方向
2014#33
An object moves with constant acceleration starting with velocity
and ending with a velocity of
in a time of 3.00s. For this motion, what is the averagespeedassociated with the object?
(A) 2.00 m/s
(B) 2.17 m/s
(C) 2.50 m/s
(D) 2.83 m/s
(E) 3.00 m/s
解析:平均speed而非平均velocity
02、思维定式
2013#23
A small object of mass 11.0 g is at rest 30.0 cm from a horizontal disk's center. The disk starts to rotate from rest about its center with a constantangular accelerationof 4.50 rad/s2. What is the magnitude of the net force acting on the object after a time of t=1/3 s if the object remains at rest with respect to the disk?

解析:该转动具有角加速度,不是匀速,因此合力应该由径向(向心)和切向两部分组成。
2018#20
A frictionless, solid disk pulley has a mass of 7.07 kg, a radius of 66.0 cm, and is free to rotate vertically about an axle. A rope is wrapped around the disk, a 1.53 kg mass is attached to the end of the rope, and the mass is allowed to fall vertically. What is the angular acceleration of the pulley?
(A) 4.58 rad/s2
(B) 7.98 rad/s2
(C) 9.87 rad/s2
(D) 2.25 rad/s2
(E) zero
解析:对于绳子连接的两个物体,它们的运动具有一致性,应该分别做受力分析,而不应该想当然的认为绳子的拉力即为悬挂物体的重力。
03、概念掌握不牢
2012#16
A constant force
(as shown in the figure) is applied for the 6.0 meter motion of the box upward along the incline. The mass of the block is
. Which one of the following choices best represents the work done by the force
on the box for the motion?

(A)300J (B)282J (C)260J (D)193J (E)150J
解析:功的定义
中
角度没有掌握,不知道对应于该题中的哪个角度。
2014#11
A crate gains 36.0J of kinetic energy while its speed is increased from 2.00
to 4.00
. Which one of the following choices best represents the mass of the crate? (A) 36.0 kg (B) 18.0 kg (C) 6.0 kg (D) 3.0 kg (E) 1.5 kg
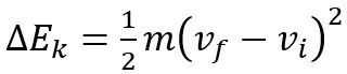
解析:记错动能的公式,

,正确公式应为
。
04、知识点欠缺
2013#24
Which one of the following statements best describesHuygens’s Principle?
(A) An additional pressure is transmitted undiminished to all points in the fluid and to the walls of the container.
(B) Each point on a wavefront acts as a source of secondary spherical wavelets (new waves).
(C) For every action force, there is an equal but opposite reaction force.
(D) It is impossible to have a process which has the sole result of transferring energy from a low temperature reservoir to a high temperature reservoir.
(E) A time-changing magnetic field has an associated induced electric field.
解析:没学过惠更斯原理
2013#36
The principal quantum number of an electron is
How many possible values of the orbital magnetic quantum number
are there for this electron?
(A) 25
(B) 11
(C) 9
(D) 5
(E) 4
解析:没学过量子数的概念
高分技巧
夯实基础,熟记物理概念和公式树立全局意识,合理分配考试时间,不拘泥单一题目的得失提高正确率,会做的题目一定要能够做正确






