





◾Round 1
2024年11月6日(周三)17:00-19:40(160分钟)
报名截止日期:2024年10月28日
◾Round 22025年2月22日(周六)14:00-17:00(180分钟)
报名截止日期:2025年2月11日
BPHO考察内容
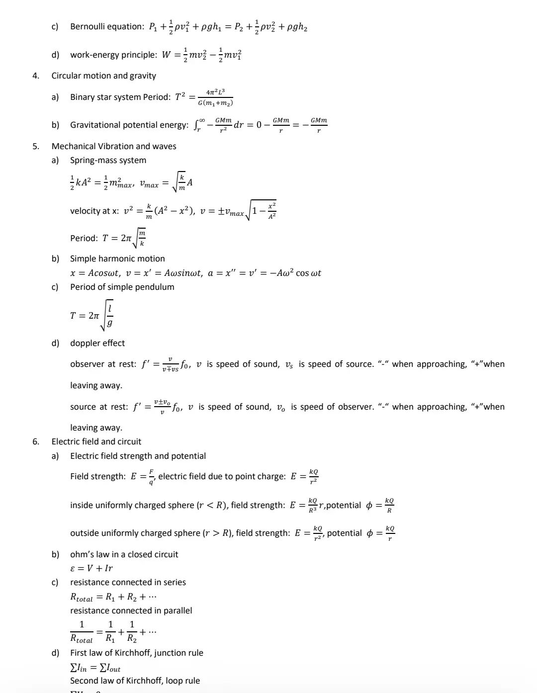
BOHO竞的考察内容主要包括力学、电磁学、热学、光学、原子物理、相对论、量子力学等物理学科的核心知识点。这些内容在深度和广度上都有所要求,旨在全面考察参赛者的物理素养和综合能力。
✨力学:包括运动学、动力学、能量、动量、角动量、碰撞等基本概念和原理。
✨电磁学:涉及电场、磁场、电路、电磁感应、电磁波等内容。
✨热学:包括热力学定律、温度、热量、内能、热传导、热辐射等知识点。
✨光学:涵盖光的传播、反射、折射、干涉、衍射、偏振等现象及其解释。
✨原子物理:研究原子结构、原子核、粒子物理、量子现象等微观世界的物理规律。
✨相对论:包括狭义相对论和广义相对论的基本概念和原理,如时间膨胀、长度收缩、质能方程等。
✨量子力学:探索微观粒子的波粒二象性、不确定性原理、量子态、量子纠缠等现代物理的前沿领域。
此外,BPhO竞赛还会考察参赛者的数学能力和物理思维,如求导、积分运算以及微分方程求解等数学工具在物理问题中的应用。
竞赛题目设计灵活多样,既有理论推导题也有实验分析题,要求参赛者具备扎实的物理基础和较强的解决问题的能力。


BOHO常考题型

BPhO常考题型主要包括证明题✨和简单题✨,具体分为两套题:
✨Section1:约15道题,每道题根据难度不同有不同的分值3-10分不等。总分值约在88分到94分之间。选手只需选答其中50分的题即可,答错不扣分,答对算分但总分不超过50分。
✨Section 2:约5道大题,每道大题25分,分为若干个小问题,选手需选答其中任意2题,总分50分。每道题都要写出证明过程,只写答案不得分。BPhO的题型设计注重考察学生的物理思维能力和逻辑推理能力同时,竞赛还涉及一些微积分和计算技巧的应用。
BOHO备考规划

【BPHO历年分数线】
一、前期准备阶段(1-3月)
✨了解竞赛信息查阅BPhO官网或相关权威机构发布的信息,了解竞赛的报名时间、考试时间、考试内容、奖项设置等。评估自己的物理水平,确定备考目标和策略。
制定备考计划根据自己的时间和能力,制定一个详细的备考计划,包括每日、每周的学习内容和目标。确保计划具有可行性和灵活性,以应对突发情况。
二、基础知识梳理阶段(4-6月)
✨系统复习高中物理知识
力学:重点复习运动学、动力学、能量、动量、角动量等基本概念和原理。
电磁学:掌握电场、磁场、电路、电磁感应等知识点。
热学:理解热力学定律、温度、 热量、内能等概念。
光学:学习光的传播、反射、折射、干涉、衍射等现象及其解释。
拓展大学物理基础知识由于BPhO竞赛涉及部分大学物理内容,如量子力学、相对论等,建议适当拓展相关知识。可以通过阅读大学物理教材或参加线上课程进行学习。
三、分章节强化阶段(7-9月)
✨针对性学习根据BPhO竞赛的考察重点和历年真题,针对每个章节的难点和重点进行有针对性的学习和练习。
重点关注高频考点和易错点,加强理解和记忆。做题训练大量做练习题和模拟试题,检验自己的学习成果。注意总结解题方法和技巧,提高解题速度和准确率。
四、真题冲刺阶段(10-11月)
✨做历年真题认真做BPhO竞赛的历年真题,了解考试的难度和出题规律。严格控制答题时间,模拟真实考试环境进行练习。整理错题整理并分析错题原因,找出自己的薄弱环节。针对错题进行专项训练,弥补知识漏洞。
五、考前准备阶段(11月初)
✨复习重点回顾整个备考过程,重点复习高频考点和易错点。巩固已掌握的知识点和解题方法。
检查考试用品确保考试所需的文具、计算器等用品准备齐全。熟悉考试场地的位置和交通路线。
机构教育BPHO培训课程
机构国际物理竞赛辅导培训,由董方知老师带队,帮助学生从竞赛知识点与国际课程知识点重新整合,分单元提升知识广度和各板块深度。
专业的竞赛教学和辅导是学生冲刺BPhO更高奖项的关键之处。一位优秀的竞赛导师不仅为学生提供系统的竞赛学习辅导,更能够及时发现同学的薄弱环节,帮助同学建立更加完整的知识体系,让学生在之后的学习过程中持续受益!
老师通过前期测评,详细了解学生情况,然后对学生进行对应学习备考规划。由专业老师进行系统授课,辅之学习监督,助力每一位学生在国际物理竞赛中取得优异成绩。
可辅导的国际物理竞赛包括BPhO、物理碗、SIN、CAP、PUPC、F=MA。
2023年BPhO竞赛中我们多名学员取得BPhO超级金奖、金奖优异成绩。2024年BPhO竞赛培训全程班再次起航,助力同学们BPhO竞赛备考。











