马上就要迎来IB数学的大考了,在开头先预祝考生们都能顺利出分。
IBAAHL 5 个 Topic 中最后一个,也是最重要的一个部分就是微积分(Caculus)。
微积分作为 IB 数学课程大纲里 Topic 5 的部分,是高中数学课程中没有涵盖的全新数学概念,需要学生掌握许多新的技能和知识。微积分课程的内容比较抽象,需要学生有较强的逻辑思维能力和抽象思维能力。
这个部分不仅包括微分(differentiation)和积分(integration)这样的基础部分,也有运动学(kinematics)、级数(series)和微分方程(differential equation)对理解要求更高的一些知识。
Topic 5 在 IB paper1 和 paper2 sectionB 中的考察形式多样,涉及题目占比也最大,在考前一定要再三确认以下公式定理已经熟知。
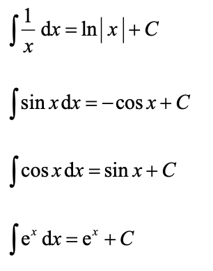
首先公式表中关于各个函数的微分积分公式,是所有涉及微积分题目需要掌握的最基础的部分。




虽然公式多,但是可以按照函数的类型分类记忆。
微积分的很多知识点多和函数一起考察,用来判断函数的特点。比如驻点(stationary point)、拐点(point of inflexion),递增递减区间,凹凸性等。
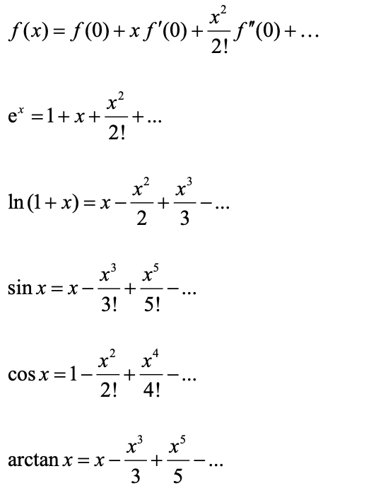
微积分中的另外一个高频考察板块是级数,这部分的公式主要包括麦克劳林级数(Maclaurin series)的一般公式和包括 sinx、cosx、ln(1+x)、arctanx、exp(x)等常见的函数的麦克劳林级数展开公式。
很多相关的题目还会涉及极限(limit)的计算。

(和级数相关的近年section B题目)

运动学(Kinematics)是 paper2 section B几乎必考的一个内容。这里最重要的要区分位移(displacement)和距离(distance)对应的不同积分形式。

另外一个 paper2 高频考察内容就是微分方程(differential equation)。
IBAAHL只要求会使用separation of variable 和 integrating factor两种求解方法。
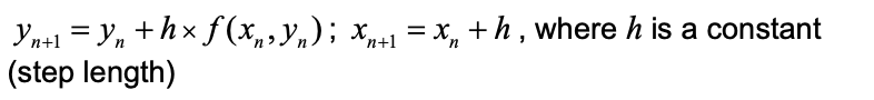
有时,还会结合给出的微分方程考察 Euler's method。需要熟练掌握迭代的步骤,考试的时候才不会看着公式也不知道具体怎么计算。

至此,关于 IBAA(HL) 五个核心 Topic 的重难点就全部为大家梳理好了。有错过往期知识点精讲的家长们,可以从以下链接快速观看:
IBAA(HL) Topic 1:Number and Algebra(代数) 的重难点梳理
IBAA(HL) Topic 2:Function(函数) 的重难点梳理
IBAA(HL) Topic 3:Geometry and Trigonometry(几何与三角函数) 的重难点梳理
IBAA (HL)Topic 4:Statistics and probability(概率与统计学)重难点梳理











