即将迎来2024年的AP化学考试,考生们是否已经做好准备了呢?今天老师将提供两份至关重要的备考资料:考前实用“碎碎念”以及分章易错点总结。
考前实用“碎碎念”
一、考试工具
一支HB / 2H / NO.2铅笔和一块橡皮,填写选择题答题卡。
一支黑色签字笔,用于书写问答题和卷子封面信息。
准备一台科学计算器,确保其具备进行指数(exponent)和对数(logarithm)运算的功能,能够将计算结果转换为小数形式,同时注意关闭声音和保证电池电量充足。值得注意的是,计算器在解答选择题和问答题两个部分均可使用。
二、题目数量与时间管理
选择题:
共有60道选择题,规定答题时间为90分钟,在卷子中会提供元素周期表、公式表和常用常数值。每道选择题的解答时间不应超过1分30秒。建议考生在解题的同时即时涂抹答题卡。当遇到棘手或计算量大的问题时,可以先不填写答题卡,而在题号处做标记。初次阶段,应快速解答那些确信能够解答的题目,待有剩余时间时再处理那些犹豫不决的题目。
需特别留意的是,选择题的难度并非按照递增顺序排列,有时会在开头设立难题以考察考生的应变能力。因此,考生切勿被某些问题的纠结所困扰,以免影响整体情绪。当前半段遇到较多未填题目时,应保持冷静,因为后续问题可能会更为简单,甚至后面的问题可能会启发解决前面问题的思路。
问答题:
共有3道长问答和4道短问答题,规定答题时间为105分钟,再次提供元素周期表、公式表和常用常数值。在解答长问答题时,特别注意确保每个小问题都得到充分解答。
一道题中的多个小问题是正常的,务必翻到卷子的最后一页,以免漏掉任何一个小问题。即使某个小问题暂时难以解决,也不必过于焦虑,因为随后的问题可能会因为新增条件而变得更为简单,即使前面的问题未填写,后续问题仍有可能得分。
在答题纸上写作答过程时,要清楚地标注每个小问题的编号。如果某个小问题需要经过多次计算和分析步骤,记得用方框或下划线将最终结果强调出来,以便在解答后续问题时能够方便查找前面小问题的计算结果。
不要将过多时间花费在长问答题上,建议在一小时内完成前三道长问答题,即使未能全部解答完毕,也要开始着手解答短问答题。可以在卷子的内页空白处记录下未解答的长问答题号和小问题,以免后续有时间想要补答时找不到题目。相较于长问答题,短问答题不会有复杂的层层递进小问题,因此更易于获得分数。
在解答计算题时,最好先列出所需使用的公式,以防后续计算出错,至少还能获得部分分数。当没有思路时,也可以将感觉相关的公式写下来,也许这样做能够激发灵感。
分章易错点总结
Chp. 1: Atomic Structure & Periodicity
1、电子跃迁(electron transition)时吸收或释放的光为紫外或可见光(ultraviolet or visible light)。光能的大小可以通过吸收或释放的光的频率(frequency)计算:


近年来,在原子发射光谱图(atomic emission spectrometry)的考察上有所增加。这些图像的分析也是建立在上述关系公式的基础上。在分析这些图像时,需要注意横轴上波长(wavelength),是向左递增还是向右递增,并非固定。
2、审题时,需要明确是要写出原子的全部电子electron configuration还是只关注valence electron部分。在分析价电子时,需要区分不同区块的元素,因为它们的电子结构可能有所不同。


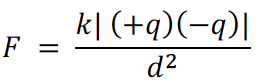
3、(Coulomb’s Law)分析电离能(ionization energy)大小时:

其中包括固定常数"k",正电荷数"+q"代表原子核内的质子数,负电荷数"-q"代表电子的负电荷数(通常为-1),"d"代表正负电荷之间的距离,对应电子所在的能层。解释同周期元素电离能的差异应主要考虑原子核内质子数的影响;而解释同族元素电离能的差异则应主要考虑电子能层数的不同导致的正负电荷之间距离的变化。
4、在周期表中,原子的电离能(ionization energy)随着从左下到右上的方向递增。电离能的增加意味着从原子中移除电子需要更多的能量,尤其是跨越主能层时,电离能会陡增(big jump)。
此外,考试要求学生能够通过photoelectron spectra来确定元素的类型。这类图像的横轴通常表示(binding energy),左侧代表更高能的内层电子,右侧代表更低能的外层电子,纵轴的高度表示处于该能级的电子数量。

5、元素的电负性(electronegativity)在周期表中也是逐渐增加的,但需要注意两个例外情况:氢的电负性与磷元素相近,大多数d区过渡金属元素(transition metals)并不符合这个规律。
此外,考试所给的周期表没有半金属分界线,学生需要自己记住B、Si、Ge、As、Sb、Te、Po、At这条线,元素的电负性与其非金属性正相关,但与其金属性负相关。
Chp. 2: Intramolecular and Intermolecular Forces
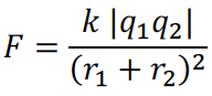
6、使用库仑定律来评估离子键的强度时

首先考虑的是阴离子和阳离子之间的电荷乘积。在电荷乘积相等的情况下,我们再比较离子半径之和对离子键的影响。需要注意的是,离子化合物在固态下不导电,只有在熔化或溶解于水后才能导电。这使得离子化合物在导电性上与其他物质有着截然不同的行为。
7、在分析物质的熔点和沸点时,我们通常发现network covalent compounds具有最高的熔点,其次是ionic compounds,然后是metals,最后是普通covalent compounds。对于离子和金属单质的熔点分析,我们需要考虑分子内作用力的强弱,而对于普通共价化合物的熔点分析,则需要考虑分子间作用力的强弱。
在分析分子间作用力对物质熔点的影响时,首先要观察电子云的大小差异。如果电子云的大小差异不大,我们会优先考虑力的类型。具有氢键的物质通常具有三种力,因此其熔点最高;而只有偶极-偶极力的物质通常缺乏氢键,其熔点次高;只有London分散力的物质通常具有最低的熔点。
氢键的形成有两个严格的条件:首先,必须是在极性分子之间;其次,分子内部必须存在H原子与N、O或F原子相连。特别需要注意的是,在有机物中,一些罕见的官能团,如-OH、-COOH和-NH2,可能形成氢键。
偶极-偶极力的强弱与分子的净偶极矩成正相关,而London分散力的强弱与分子的大小或电子云的极化能力成正相关。电子云的大小与分子的电子总数和原子核总数成正相关。

在问答题中,第一次提及分子间作用力时应使用全称,后续可以使用缩写。例如,hydrogen bond (HB)、dipole-dipole force (DDF)和London dispersion force (LDF)。
8、在分析共价键的键长(bond length / intramolecular distance)时,首先要考虑原子的周期。周期越大,电子层数越多,导致原子半径更大,从而键长更长。如果原子周期相同,则需要进一步分析键的数量。键的数量越多,键的极性越大,键能越高,因此键长越短。
9、在分析共价化合物的分子形状或键角时,不应被Lewis结构所迷惑。例如,尽管在平面上绘制了十字形,但在立体空间中实际呈现的可能是正四面体结构。键角是109.5°。
sp hybridization周边全是单键的话键角是180°,形状是linear;sp2 hybridization周边全是单键的话键角是120°,形状是trigonal planar;sp3 hybridization周边全是单键的话键角是109.5°,形状是tetrahedral。这几个经典易构成nonpolar molecule的键角和形状一定要熟记,在此基础上,中心原子周边每多一个lone pair,键角就会减少2.5°。
注意linear,bent,trigonal planar,square planar,T- shaped 这些分子构型的所有原子都在同一平面;而tetrahedral,trigonal pyramidal,trigonal bipyramid,seesaw,octahedral,square pyramidal这些分子构型的所有原子分布在不同平面,都是三维立体构型。
10、在评估polarity of bond,需要关注键两端electronegativity差异。这种差异越大,表示键的极性越强。尽管考试很少直接提供元素的electronegativity,但我们可以通过观察元素在周期表中的位置来进行推断。一般来说,主族元素在周期表中的位置越远,它们之间的electronegativity就越大。因此,在分析时,特别需要小心将氢原子与磷原子进行比较。
相信同学们经过充分的准备,必定能在这次的AP考试中取得令人满意的开端。在考试结束后,建议同学们不要过多讨论考试内容,以免影响接下来的考试情绪。
只有保持谦逊与冷静,才能更好地迎接后续挑战。祝愿每位同学都能在这场考试中展现出自己的学习成果,取得理想的成绩!













