美国大学理事会 (College Board) 最近推出了APPrecalculus 的课程。课程的具体内容可以在官网提供的介绍链接中找到,主要包括了四个单元。分别是:多项式和分式函数(Polynomial and Rational Functions),指数和对数函数(Exponential and Logarithmic Functions),三角函数和极坐标(Trigonometric and Polar Functions),参数方程,向量和矩阵(Functions Involving Parameters, Vectors, and Matrices)。

我想从准备AMC考试,建立中学数学知识体系的角度来谈谈我对这门新课的课程内容的一些看法。对于准备 AMC 10/12 的同学,往往都会超前学习高年级的数学知识。然而对于学习多少知识,学到多深的程度,并没有一个准确的标准。
个人认为新出的 Precalculus 课程在一定程度上将会统一AP课程体系下在微积分之前所要学习的内容。
同时,其涵盖的主要部分也适合准备 AMC10/12 的同学参考列入课内学习计划。我们通过对比每个章节的核心知识和一些 AMC 历年真题,来浅析这两者之间的联系。
2021 年 AMC12 A 的第 22 题是典型的需要运用高阶多项式韦达定理的一道题目。一般在 7-9 年级阶段,同学们已经接触了一元二次方程的求解和韦达定理,但是关于高阶多项式的内容需要在 Precalculus 的阶段才有详细介绍。
余式定理(Remainder Theorem)和因式定理(Factor Theorem)这些在 AMC 考试中高频使用的结论也都是在这一阶段的学习中给出。

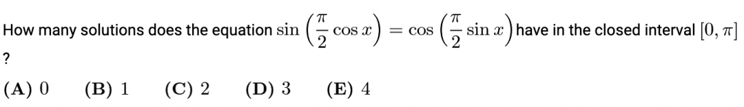
此外上述例题,也出现了三角函数和弧度,这一部分对应了 Precalculus 中三角函数这一章节。相比于之前学习到的三角知识。Precalculus 中的三角函数通过介绍弧度这一概念,将三角函数的定义域拓展到了整个圆周。
很多常用的三角恒等式(Trigonometric Identities)也在这部分给出,例如和角公式,倍角公式,正余弦定理等。同时这些知识又成为了学习竞赛数学知识的基础储备,比如在这些基础上介绍的三角和差化积公式,三倍角公式等。例如下面这道 2021 AMC 12A 中的第 19 题,就需要同学们完全掌握三角函数的概念,才能求解这个三角方程。

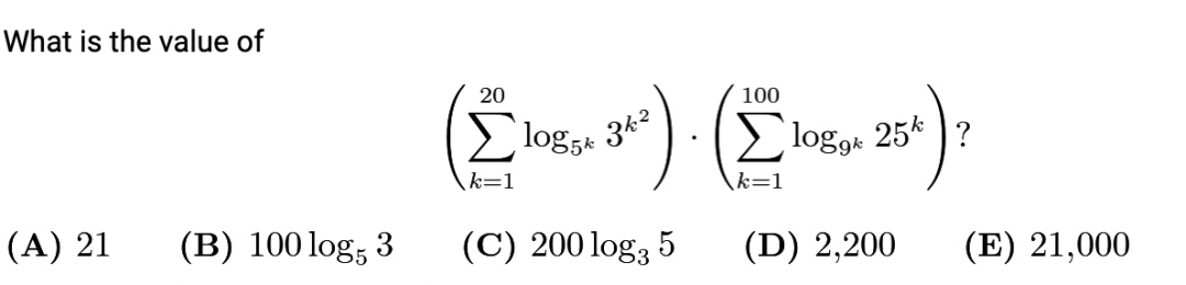
又比如指数和对数的知识也是 AMC 考试中较常被考察的部分。尤其是对数的内容,是 AMC 12 中高难度题目的常客。经常遇到同学答疑觉得这一部分特别难,主要原因还是没有系统地学习这一部分内容,很多基本概念不清晰。
例如下面这道 2021 AMC 12A 的第 14 题,其实就是考察了对数运算的一些基本法则。对于这些知识的学习,Precalculus 也划出了一个比较清晰的范围。

相比于前三个章节,Precalculus 的最后一个章节的内容在 AMC 考试中的对应部分相对较少。不过圆锥曲线的一些基本概念还是在和解析几何相关的题目中频繁出现。一些较难的解析结合题目,总会伴随圆的解析方程。例如下面这道 2018 AMC 10A 的第 21 题,

总体来看,新的 AP Precalculus 课纲是一个很好的 AMC 10/12 课内知识参照物。虽然完成所有内容的学习并无意味着就能完全掌握 AMC 10/12,但是为更进一步拓展进阶的竞赛知识打好了基础。对于当下处在 5-8 年级的同学来说, 适当的时间开始 Precalculus 这个课程确实可以作为 AMC 10/12 学习的前哨战。






