2023年5-6月夏季考试就在眼前!
Paper 1全部都是选择题,虽然我们有25%蒙对的概率,不过总分只有40分,各个成绩等级之间相差了了,因此每一分都至关重要。
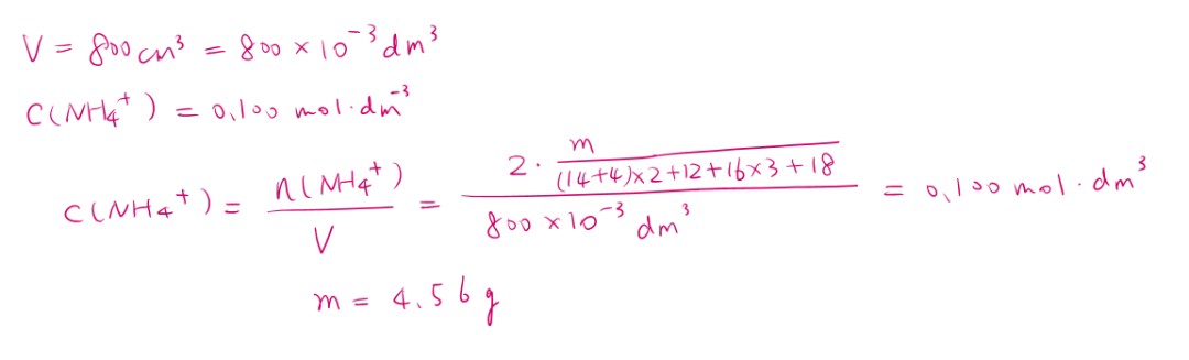
今天从19年冬天的一套卷子(9701 19w_12)中节选几道易错题来详细讲解,希望对大家的考试有所帮助。
第一题

解题要点:
❶ 体积单位换算为dm3
❷ 意识到1mol(NH4)2CO3·H2O溶解后有2mol NH4+

答案:A
第二题

解题要点:
A 电子排布:2.4,因此是2 energy levels
B 具体电子排布:1s22s22p2,因此s orbital上共有4个电子,包括1s和2s,比p orbital上电子多
C和D lowest energy是1s orbital,是球形的
答案:D
第三题

解题要点:
endothermic:吸热反应
常见的吸热反应有:热分解(thermal decomposition reaction);铵盐(Ammonium salt)溶于水
答案:D
第四题

解题要点:
Standard enthalpy change of atomisation的定义:
The enthalpy change when one mole of gaseous atoms is formed from the element in its standard state under standard conditions.
通过重点划出来的两个要点来判断答案。
产物系数一定是1,代表1mol
产物状态只能是g
箭头左边物质要符合在standard condition下的状态
答案:B
第五题

解题要点:Oxidation number的判断

大家参照上图规律判断反应中各个原子oxidation number,发生变化的是:
N:-3 → 0 (升高,被氧化)
Cr:+6 → +3 (降低,被还原)
答案:C






